En la carrera entre Aquiles y la tortuga subyace un proceso iterativo, de modo que cuando Aquiles llega al punto en el que estaba la tortuga esta ya ha alcanzado un nuevo lugar, que nuevamente tendrá que alcanzar Aquiles y así sucesivamente. Puede plantearse un proceso parecido sobre un trayecto en el que, por ejemplo, una vez recorrido la mitad, sobre lo que queda hay que recorrer su mitad, y así sucesivamente sobre cada tramo que quede por recorrer. La suma infinita de las mitades que se van recorriendo da como resultado el trayecto. Si existiese una pausa al llegar a la mitad, y cuando se alcanza la mitad de lo que queda por recorrer en cada iteración también hiciésemos una pausa jamás llegaríamos a completar el trayecto, pues habría infinitas pausas. Si, en cambio, pensamos en un segmento matemático al que le quitamos la mitad y después a la mitad que queda su mitad, y obramos así sucesivamente, después de infinitos procesos tendríamos un único punto cuya dimensión topológica es 0, a pesar de haber partido de un segmento cuya dimensión topológica es 1. Este es el procedimiento de creación del polvo de Cantor mediante un proceso iterativo infinito. Cantor, tomó un intervalo de la recta real y lo dividió en tres tercios, eliminando el intervalo abierto que corresponde al tercio central (Un intervalo abierto no contiene el punto inicial y final que lo definen). A cada intervalo cerrado de recta que le quedó le aplicó el mismo principio y obró recursivamente infinitas veces. Al final obtuvo un conjunto de puntos separados cuya estructura es un fractal porque, entre otras muchas cosas, su dimensión topológica es 0 y su dimensión de Hausdorff-Besicovitch es log 2/log 3 ≈ 0,6309297.

El conjunto o polvo de Cantor se construye eliminando en un segmento de una recta su tercio central, y sucesivamente de cada segmento que queda su tercio central en un proceso iterativo infinito.
En matemáticas procesos iterativos se emplean para resolver, en ciertas circunstancias, ecuaciones o sistemas de ecuaciones. En ellos, se parte de una posible solución aproximada e incluso una arbitraria cualquiera, que se somete a una fórmula o a unos algoritmos. El resultado hallado vuelve a someterse a la misma fórmula o algoritmos y así sucesivamente hasta que se alcanza el grado de precisión requerido que se da como solución. Uno de estos procesos, conocido desde la antigüedad, es el método babilónico para hallar la raíz cuadrada de cualquier número real . En este método se parte de un número cualquiera, generalmente el entero que más se aproxime a la raíz cuadrada por defecto o por exceso, para iniciar el proceso iterativo que converge muy rápidamente hacia la solución.

Por ejemplo, para hallar la raíz cuadrada de 297 podemos partir de cualquier número, pero sabemos que 17 X 17 = 289 y que 18 X 18 = 324, por ello podemos elegir o 17 o 18 para iniciar los cálculos. Tomando f0(x)=17, se obtiene en la tercera iteración 17,2336879396…, como resultado de la raíz cuadrada de 297, cuyos diez decimales son exactos.

Desarrollo del método babilónico para obtener la raíz cuadrada de 297.con cálculos de 10 decimales en cada operación intermedia, que en la tercera iteración ya nos da el resultado deseado con 10 decimales de precisión al ser este resultado el mismo que el de la cuarta iteración.
Partiendo de 18, también, en la tercera iteración se obtiene la misma precisión en el resultado. Limitando todo cálculo intermedio del proceso a tres decimales se obtiene desde la segunda iteración el resultado 17,234. Ocurre parecido al hallar aproximaciones de raíces cuadradas de números más grandes empleando tan solo precisiones hasta el tercer decimal en cada cálculo. Así, la raíz cuadrada de 78.246, partiendo de 279, se halla ya en la segunda iteración como 279,275, o la de 1.894.235, partiendo de 1.376, en la primera iteración ya da como resultado 1.376,312.
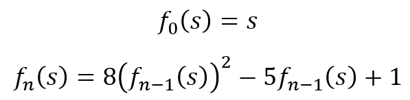
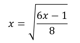
Un método iterativo se puede emplear en ocasiones para calcular alguna solución real de una ecuación. Así, por ejemplo, de la siguiente ecuación podemos desarrollar un proceso iterativo.

Si despejamos x obtenemos la base que nos permite el desarrollo iterado para resolver esta ecuación, que sabemos tiene como soluciones x=0,5 y x=0,25.

Partiendo de un número cualquiera que llamaremos s para iniciar un proceso iterativo, puede ocurrir que el método converja a una solución de la ecuación o que no lo haga. Si conforme avanzamos en iteraciones la serie de resultados produce diferencias entre ellas cada vez menores el método converge hacia una solución, si no decrecen el método diverge y no podemos hallar solución.

Siempre que haya habido convergencia tendremos solución y x=fn(s), tras un proceso quizá muy largo de iteraciones hasta conseguir la exactitud deseada. En este caso el proceso iterativo halla la solución x=0,5 solo cuando partimos de s=0,5 y halla la solución x=0,25 cuando 0,5 >s ≥ 0,25, no hallando solución en cualquier otro caso.
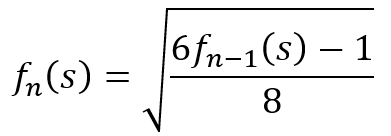
Pero, también existen más procesos iterativos de la ecuación planteada como el que nace de despejar x de otros modos al anterior.

El proceso iterativo sería:

En este caso el proceso iterativo halla la solución x=0,25 solo cuando partimos de s=0,50 y halla la solución x=0,5 cuando ∞ > s > 0,25, no hallando solución en cualquier otro caso.
Newton desarrolló un algoritmo iterativo de cálculo para encontrar raíces reales de funciones que tuviesen hasta por lo menos segunda derivada partiendo de un valor inicial lo suficientemente cercano a la raíz buscada para garantizar la convergencia hacia ella. El proceso es semejante a los ya descritos y cuenta con ciertas limitaciones iniciales. Se parte como en ellos de una supuesta raíz y se somete al método de Newton dando un resultado. Tal resultado se vuelve a someter al método y así sucesivamente hasta que se repite un resultado con la precisión decimal deseada. Es un método relativamente sencillo de encontrar soluciones reales a ecuaciones polinómicas y de otra índole.
En otros procesos iterativos no se buscan soluciones, sino que se crean fractales, como es el caso de la curva de Koch, creada a partir de un segmento cuyo tercio central es sustituido por los lados de un triángulo equilátero sin base y que en un proceso iterativo a cada segmento se le hace lo mismo. La curva de Koch es la base de aproximaciones a fronteras, costas, islas, continentes… al introducir aleatoriedad en el proceso iterativo. La aleatoriedad lo es en el sentido en que se apliquen los dos lados del triángulo equilátero sin base en cada lugar en cada iteración, pudiendo estos ser dibujados hacia un lado del segmento o hacia el otro. Mandelbrot creó su método de simulación de cotizaciones semejante al proceso iterativo de la curva de Koch con aleatoriedad, como veremos en su momento.
La curva de Koch se construye eliminando de un segmento su tercio central que es sustituido por los lados de un triángulo equilátero sin base y así sucesivamente en un proceso iterativo infinito en cada nuevo segmento.

Muchos fractales pueden ser creados por procesos iterativos, concretamente mediante sistemas de funciones iteradas, SFI por sus siglas o IFS por sus siglas en inglés, y formas que simulan cotizaciones pueden hacerse así. Una ficticia cotización pasada se puede simular por un sistema de funciones iteradas, pero tal simulación abarca tiempos ficticios pasados sin que nada de ella presuponga un futuro, y una cotización real tiene futuro que no se puede simular por tales procesos SFI. Cabe encontrar otros modos que sí sean capaces de determinar caminos posibles o cotas a alcanzar con cierta probabilidad de éxito y basándose en cierto grado de autosimilitud que las cotizaciones tienen es posible determinar dónde existirán máximos y mínimos.