El Análisis Técnico tiene diversas figuras y formaciones que si se producen es capaz de sugerir lugares a los que el precio posiblemente terminará yendo. Calcular estos lugares es resultado de medir cierta distancia en cada figura o formación y después tomar una relación o una proyección de Fibonacci o la mitad de la medición. ¿Por qué hay desplazamientos en las cotizaciones que obedecen a ciertas relaciones o proyecciones de Fibonacci respecto de un anterior desplazamiento de precio o tiempo? ¿Son las única relaciones o proyecciones que aparecen? Estas preguntas se las han hecho muchos, entre ellos Elliott y todavía no hay una respuesta rotunda, pero lo cierto es que aparecen relaciones y proyecciones de Fibonacci entre ondas o grupos de ondas por doquier y otras proporciones que de modo regular están presentes. Aun cuando Elliott nunca supo de fractales, sí supo ver y estudiar las repeticiones que se forman en el desplazamiento de las cotizaciones. Sus ondas hacen estructuras similares que son tratadas como ondas de otra escala o tamaño. Tuvo una concepción fractal de las cotizaciones según entendemos y sabemos ahora. En la Naturaleza aparecen en muchos lugares tanto la secuencia de Fibonacci como relaciones de Fibonacci (proporciones al dividir términos de la secuencia que distan un lugar, dos, tres… cuando los términos están cercanos a la posición infinito). En los diversos conjuntos de Mandelbrot hay secuencias y relaciones de Fibonacci y en las cotizaciones estas relaciones y proyecciones están presentes en muchos lugares, formando parte del modo en el que se construye un aspecto de su autosimilitud. La razón áurea o el número áureo o las divinas proporciones son encontradas en muchos lugares, parece que forma parte de nuestro patrón de belleza, de lo que es armónico, de lo que nos parece agradable… y no solo de eso, sino que está presente junto con la secuencia de Fibonacci en muchos procesos de la Naturaleza y de no tan la Naturaleza.

La razón áurea Φ o su inversa 1/ Φ aparecen en lugares insospechados. Al inscribir dos círculos iguales tangentes máximos en otro círculo tenemos la razón áurea y su inversa del radio, como se ve.
La secuencia de Fibonacci es una sucesión recurrente aditiva, que apareció relatada en sus primeros términos en un problema que intenta calcular la población de conejos criada en un año partiendo de una pareja de ellos, en el libro Liber Abaci (1202), sobre aritmética, escrito por Leonardo Pisano, Leonardo de Pisa, o Leonardo Bigollo, conocido ahora como Fibonacci (Filius Bonacci) por ser hijo de Guglielmo Bonacci, siendo quien también nos introdujo la numeración arábiga en sustitución de la numeración romana. Se inicia esta secuencia con 0 y 1 y a partir de ahí cada término es suma de los dos anteriores.

Se puede crear cualquier sucesión recurrente aditiva en la que los términos a partir del tercero sean la suma de los dos anteriores.

Y en todas ellas se tiene que:

Razón áurea, Fibonacci, Le Corbusier
La razón áurea o número áureo, número de oro, divina proporción y otros muchos nombres que tiene es representada matemáticamente por la letra griega Phi, tanto mayúscula (Φ) como minúscula (φ). Aquí la representaré en minúscula. Era ya conocida por los clásicos mucho antes de obtenerla por la secuencia de Fibonacci. Los clásicos observaron que era armónico dividir un segmento en dos partes, de modo que la parte mayor guardase respecto de la parte pequeña la misma proporción que el segmento con la parte mayor. Esa proporción es la razón áurea. También encontraron que resultaba armónico los rectángulos cuyos lados mayor y menor cumplían esta proporción. El número áureo está presente en la estrella pentagonal o también en la estrella inscrita dentro de un pentágono al dibujar sus cinco diagonales. Al pentágono al que se le han dibujado sus cinco diagonales, teniendo, por tanto, en su interior una estrella pentagonal se le llamó Pentagrama místico pitagórico. Euclides en el libro IV de “Los elementos” ya lo describe y hace referencia a que sus segmentos tienen entre ellos la razón áurea.

De entre las sucesiones recurrentes aditivas en la que cada término es la suma de los dos anteriores, fijando arbitrariamente los dos primeros (a y b), destaca la secuencia de Fibonacci, que es la iniciada con a=0 y b=1.

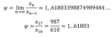
En este tipo se secuencias o sucesiones, en las que un término es suma de los dos anteriores, se da en todas ellas, tomemos los dos términos iniciales que tomemos, que al dividir el término que ocupa el lugar casi infinito por su anterior se obtiene el número φ. A los efectos prácticos no hace falta llegar a términos cercanos al lugar infinito dado que estas series convergen rápidamente hacia φ. Tenemos que en la secuencia de Fibonacci el quinto dígito decimal se estabiliza en el término 17 dividido por el término 16.

Es importante el número áureo φ porque estará presente en muchas proyecciones de precio nacidas de diversas estructuras fractales simples. Estas estructuras simples son los ladrillos que van construyendo la multifractalidad en las cotizaciones y cada uno de ellos tiene sus particularidades.
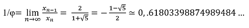
Otro número importante es el inverso de 1/φ.

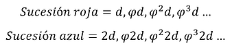
Charles Edward Jeanneret, conocido como Le Corbusier creó dos sucesiones basadas en el número de oro, la sucesión roja y la sucesión azul.

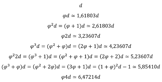
En ambas sucesiones d es la altura del ser humano, que él consideraba de 6 pies (183 cm). Sus paredes, habitaciones y edificios estaban basados en una tabla que llamó Modulor. Dispuso por orden creciente los términos de ambas sucesiones juntos y con combinaciones de esos términos tenía el ancho de unos cuadrados o rectángulos y también el alto. Por ejemplo, una pared podía ser la combinación de φ2d (592 cm) de ancho por φd (296 cm) de alto.
En la construcción fractal de las cotizaciones existen diversas afinidades basadas en términos que aparecen en las sucesiones roja y azul de Le Corbusier, que descansan en el número φ, y otras afinidades no basadas en φ como iremos viendo. No tenemos en las cotizaciones una altura estandarizada como la d de las series que eran 6 pies, y sí, sin embargo, otras muy diversas distancias que medir. Nuestra d en las cotizaciones no es una constante, sino que toma un valor en cada ocasión, d siempre será una distancia en precio o en tiempo concreta y sobre cada d existe algo así como un Modulor, que es una cuasi transformación afín con múltiples resultados. Tenemos ciertas especies de «Modulor», unos basados en el número φ y otros que estarán construidos de un modo distinto. Descendientes de φ tenemos entre otros los siguientes términos, sin que formen una sucesión, que según qué homotecias de ciertas mediciones nos reportan posibles objetivos.

Estos coeficientes (llamémosles n) que multiplican a una distancia d son números borrosos. Al graficar las cuasi transformaciones afines añado un margen de un 5,2% de cada coeficiente, que viene a ser la meseta del número borroso, aunque estos números borrosos son más extensos que la meseta. Ese 5,2% no sale de ningún cálculo, sino que es una aproximación a lo que he venido observando y suele ser habitual.

Los resultados de las cuasi transformaciones afines son números borrosos. Según qué tipo de cuasi transformación afín se tiene un tipo de número borroso o el otro, pero ambas mesetas (zona remarcada en gris) son un 5,2% del coeficiente n.
Más adelante trataré diversas proporciones de estas relaciones de Fibonacci y de la razón áurea, de cuadrados de los números de la secuencia de Fibonacci, de las diferencias entre tales cuadrados, así como de las secuencias recurrente de tercer orden cuyos términos a partir del cuarto son la suma de los tres anteriores, como lo es la secuencia de Tribonacci (Tri por ser tres términos y bonacci por semejanza a la de Fibonacci en su construcción), porque todo ello interviene en el proceso de homotecias de dilatación o procesos expansivos, que encontraremos en muchas de las cuasi transformaciones afines, que construyen las cotizaciones como multifractales conforme avanza el tiempo.