Aquí comienza lo que podría llamar la segunda parte del libro. No es una segunda parte bien diferenciada de la primera, pero es la parte en la que voy a ir exponiendo cómo se hallan los objetivos de precio y tiempo, entendiendo que tales objetivos están sujetos a probabilidad de que en ellos se marquen máximos o mínimos relativos.
Existen muchas estructuras dentro de cada cotización que producen objetivos fractales cada una de ellas, es decir, que de ellas nace un conjunto borroso de homotecias cuya probabilidad de cada una de producirse viene dada por la función de pertenencia al conjunto borroso de cada elemento (de cada homotecia). Aunque una cotización es un multifractal se pueden identificar tales estructuras y estas de alguna manera se coordinan entre ellas prediciendo algunos máximos y mínimos comunes. Cuando varias homotecias apuntan a un mismo lugar hay una concentración de probabilidades en él y suele darse un máximo o un mínimo relativo de cierta importancia.
Antes de abordar estructuras concretas que aporten homotecias de ciertas distancias me referiré a ciertos aspectos fractales o multifractales que tienen que ver tan solo con semejanzas, con características que se dan que no tienen por qué apuntar a lugares concretos como son las líneas indecisión y otras.
Las estructuras no se reparten homogéneamente por las cotizaciones, algunas suelen aglutinarse temporalmente, pueden pasar largos periodos sin que un tipo de ellas haga presencia o apenas apareciendo y en otros hay concentración de ese tipo. Algunas estructuras sí que aparecen por doquier como el método de las directrices, que forma parte de intrínseca evolución de la propia cotización. Al método de las directrices y otros que tienen que ver con la propia evolución de la cotización no sé si se les debe de llamar estructuras como sí ocurre, por ejemplo, con las expansivas. Siempre y en cualquier parte habrá método de las directrices, como también crecimiento fractal y otros, pero, sin embargo, no tiene por qué haber expansivas y otros tipos de estructuras. Cuando aparecen estructuras, estas aportan un refuerzo extra en las previsiones de objetivos a alcanzar propuestos por los métodos nacidos de la propia evolución de la cotización.
Un objetivo fractal es el resultado generalmente de una homotecia de alguna medición. Tal homotecia es un elemento de un conjunto borroso de homotecias y puede que la cotización haga un máximo o un mínimo relativo donde tal homotecia apunta. Hay una probabilidad de que tal homotecia realice o no realice el máximo o el mínimo y tal probabilidad es la de la función de pertenencia del elemento al conjunto borroso de homotecias. El resultado de una homotecia, lo que llamo objetivo, es a su vez un número borroso y este número borroso puede ser de dos tipos. El primer tipo, que es el que generalmente se da en los métodos y en los resultados de estructuras, tiene una función de pertenencia que se inicia rozando el propio número borroso, con una meseta que se extiende mucho de él y un declive de la función de pertenencia tan grande o más que la meseta. El segundo tipo, que se da en muy pocas formaciones y que advertiré cuándo será así, tiene una función de pertenencia en la que el número borroso está centrado en la meseta de la función de pertenencia y tanto el ascenso a la meseta como el declive pueden ser tan grandes como ella. Los objetivos que dibujaré corresponden tan solo a lo que es la meseta de las funciones de pertenencia de tales números borrosos.

Encontraremos dos tipos de números borrosos como resultado de las homotecias que iremos viendo. Generalmente los números borrosos serán como los mostrados en la parte superior, pero en ocasiones los objetivos son como los mostrados en la parte inferior. Cuando ello ocurra lo advertiré claramente. Las franjas grises son los objetivos y corresponden a las mesetas de la función de pertenencia de los números borrosos.
Existen diversos conjuntos borrosos de homotecias de distancias concretas. Cada uno de los tipos de conjuntos borrosos se aplican en distancias concretas bien identificables y de índole distinta que iré explicando.
Lo mejor es que explique esos conjuntos borrosos. Antes quiero recordar que los elementos de estos conjuntos borroso tienen un grado de pertenencia al conjunto. Ese grado de pertenencia es la probabilidad de que la homotecia que nace del producto de una distancia por el número borroso (elemento del conjunto borroso) se produzca o no se produzca como un máximo o un mínimo relativo posterior. Creo que no es calculable la función de pertenencia de cada elemento del conjunto borroso, quizá hiciera falta realizar un análisis exhaustivo que recuente cuántas veces se produce una homotecia de cada elemento sobre un número muy grande de situaciones para tener una aproximación a tal función de pertenencia de cada elemento número borroso. Yo no he hecho ese estudio, pero sí que he detectado en algunos conjuntos borrosos qué elementos tienen más elevada su función de pertenencia. No obstante, creo también, que tal función de pertenencia es cambiante que por más que se hiciese un estudio, en cada cotización tendría valores distintos y en cada periodo de tiempo también.
Cada número borroso, es decir, cada elemento de cada conjunto borroso que veremos a continuación tiene una meseta en su función de pertenencia que cifro por aproximación en el 5,115% de cada número borroso.
Primer conjunto borroso
A este primer conjunto borroso ya lo he ido indirectamente expresando anteriormente, pero ahora lo presento formalmente. Consta de seis números borrosos y todos ellos guardan relación con el numero Phi o razón áurea. En realidad, conjuntos borrosos derivados de Phi hay varios. Tras exponer cómo es el primer conjunto borroso pondré dos con dos elementos, también derivados del número Phi, que se emplea en pocas ocasiones y otros dos de un solo número borroso.
Relaciones de una distancia en precio o una distancia en tiempo basadas en el número inverso de Phi (0,61803…), así como la diferencia entre 1 y este inverso (0,38196…) se ven en muchos lugares en las cotizaciones y son llamadas primer fibo y segundo fibo en el análisis técnico, en la teoría de ondas de Elliott y en otros intentos de estudio de las cotizaciones. Así mismo, proyecciones de una distancia en precio o tiempo como son el propio Phi (1,61803…), Phi más su inverso (2,23606…) o 1 más Phi (2,61803…) también aparecen en la teoría de ondas de Elliott y en diversas disciplinas dentro análisis técnico, pero proyecciones más allá de esta última cifra no suelen emplearse y muchas veces ni conocerse. Generalmente superar una proyección del 2,61803… suele expresarse como algo que ocurre, pero no se cuantifica qué proyecciones pueden ser ni cómo son. En alguna ocasión, como en ciertos patrones del “Operador armónico” de Scott Carney sí se formulan claras proyecciones por encima de 2,61803…
En este apartado tan solo presento el conjunto borroso de números borrosos derivados del número Phi y más adelante veremos dónde operar con él y hallar así homotecias de ciertas distancias.
Los elementos números borrosos de este primer conjunto borroso son los siguientes:

Este es el medidor que corresponde al primer conjunto borroso. Midiendo del 0% al 100% una distancia en precio propone los siguientes objetivos: 261,803% a 275,195%, 323,607% a 340,159%, 423,607% a 445,274%, 523,607% a 550,389%, 585,410% a 615,354% y 647,214% a 680,318%., que son homotecias probables de la distancia medida.

El otro conjunto borros cuyos elementos (números borrosos) derivan de Phi tiene dos elementos:

Hay otro conjunto borroso con dos elementos (números borrosos) derivados de Phi:

De ciertas distancias hay homotecias nacidas de conjuntos borrosos de tan solo un único elemento (número borroso). Estos únicos números borrosos son: 1, 1,61803 y 2,61803.
En ocasiones emplearemos algún subconjunto del conjunto borroso de 6 elementos y tal circunstancia será indicada.
Así mismo, este primer conjunto borroso al igual que el segundo tiene la propiedad de combinar sus elementos consigo mismo. Así, tenemos que todo el conjunto de números borrosos puede ser sumado al tercer número borroso o al quinto o al sexto, pero en tales combinaciones tan solo son importantes los resultados tercero y quinto al combinar el conjunto con el tercero, tercero, quinto y sexto al combinar el conjunto con el quinto y por último quinto y sexto al combinar con el sexto.
Segundo conjunto borroso
En la construcción del fractal de Fibonacci o Racimo de Grossman de George W. Grossman aparecen, en la descripción que dio en 1997 tal autor en “Fractal Construction by Orthogonal Projection using the Fibonacci Sequence”, secuencias de números como la de Fibonacci, que se van construyendo generando cada término con la suma de los dos anteriores o tres o más. De aquí saqué la idea de explorar otras proyecciones que no se derivasen del número Phi (como son las del primer conjunto borroso) y por eso hago esta reseña.
La secuencia de Tribonacci, se construye igual de la de Fibonacci, pero con la suma de los tres términos anteriores. Otras secuencias se hacen con cuatro, cinco… anteriores términos, pero estas no tienen nombre. Tribonacci no es nadie, pero la secuencia que lleva tal nombre se forma de modo parejo a la de Fibonacci. En ella cada término a partir del cuarto es suma de los tres anteriores. La secuencia de Tribonacci toma el nombre combinando tres y Fibonacci y es la siguiente:

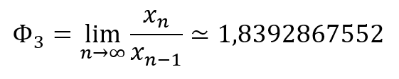
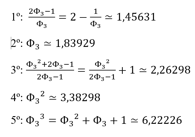
Ocurre como en la secuencia de Fibonacci y el número φ=Φ2 (Phi mayúscula sub 2), que existe un límite como resultado de la división de un término por el anterior cuando estamos próximos al término infinito. Este límite es Φ3 (Phi mayúscula sub 3).

En las secuencias en las que intervienen sumas de 4, 5 y más términos, un límite semejante al descrito va tendiendo a 2, y como veremos más adelante el 200% de ciertas distancias también es un objetivo. Para el caso de la secuencia de 4 términos el límite es 1,927561975… y en el caso de la secuencia de 5 términos es 1,965948237… Pero 2 (200% como homotecia de una distancia) no lo incluyo el conjunto borroso ni en el medidor porque ciertos medidores, como este, pueden auto acoplarse como ya indicaré cuando ello sea así, quedando el conjunto borroso y el medidor simplificado.
Este segundo conjunto borroso está formado por 5 números borrosos hallados conforme describo a continuación:

Este es el medidor que corresponde al segundo conjunto borroso. Midiendo del 0% al 100% una distancia en precio propone los siguientes objetivos: 145,631% a 153,080%, 183,929% a 193,337%, 226,298% a 237,873%, 338,298% a 355,601% y 622,226% a 654,053%. Además, cuenta con una marca en el 110,229% que solo sirve para cuando el medidor se acopla consigo mismo.

Tercer conjunto borroso
Este tercer conjunto borroso tiene como elementos la raíz cuadrada de números de la secuencia de Fibonacci, concretamente está formado por las raíces cuadradas de 2, 3, 5, 8 ,13 y 21, siendo posible que las raíces de los siguientes coeficientes de la secuencia de Fibonacci formen también parte del conjunto borroso y que determinen posibles homotecias de ciertas distancias.
Los seis objetivos son los siguientes:

Este es el medidor que corresponde al tercer conjunto borroso. Midiendo del 0% al 100% una distancia en precio propone los siguientes objetivos: 141,421% a 148,655%, 173,205% a 182,065%, 223,607% a 235,044%, 282,843% a 297,310%, 360,555% a 378,998% y 458,258% a 481,697%.

Cuarto conjunto borroso
La construcción de este conjunto borroso me fue un poco compleja. Estuve experimentando muchas cosas entre los números de la secuencia de Fibonacci, con sus raíces cuadradas, con los de Tribonacci y sus raíces, y al final ocurrió que una secuencia alterada de los números de la de Fibonacci, pero en sus raíces cuadradas funcionaba. La siguiente secuencia en la que cada número sombreado es cada término de la secuencia de Fibonacci son los números borrosos de este cuarto conjunto borroso:

El primer término de esta secuencia es 0 y el segundo es 1, así que en tantos por cien son 0% y 100%, principio y final de una medición. Los siguientes términos expresan objetivos cuando multiplican a una distancia concreta y tales objetivos suelen aparecer en las cotizaciones hasta el sexto término, el séptimo se da pocas veces y el octavo menos. Es posible que se puedan dar los siguientes objetivos de términos no incluidos en el medidor (que se corresponden con los términos de la secuencia del tercero a octavo), pero ya pasarían del 1000% de la medición y ello supone una lejanía excesiva para un buen pronóstico porque además el sexto objetivo (que se corresponde con el octavo término de la secuencia) tiene un tamaño de franja de más del 50% de la medición inicial y en los siguientes (ya no incluidos) tal tamaño de franja aumenta y llega a superar la propia medición.
El cuarto conjunto borroso queda conformado por los números borrosos términos del 3º al 8º de la secuencia expuesta antes:

Este es el medidor que corresponde al cuarto conjunto borroso. Midiendo del 0% al 100% una distancia en precio propone los siguientes objetivos: 176,733% a 185,775%, 298,413% a 313,677%, 441,421% a 464,000%, 629,036% a 661,211%, 864,910% a 909,150% y 1166,295% a 1225,951%.

Quinto conjunto borroso
En el primer conjunto borroso intervienen cálculos con el número Phi y algunos elementos son suma de otros elementos adicionándole 1 o 2. Realicé cálculos con las raíces cuadradas de los números de la secuencia de Fibonacci sumando 1 y 2, pero al final resultó que los números borrosos de este quinto conjunto borroso se construyen así:
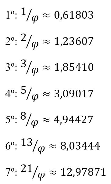
A cada número de la secuencia de Fibonacci comenzando por el 2 se le practica la raíz cuadrada y se le suma el número anterior de la secuencia y también a la misma raíz cuadrada se le suma el anterior al anterior de la secuencia de Fibonacci. El conjunto borroso está configurado con 6 números borrosos, pero posiblemente pueda haber más que puedan funcionar que no he puesto.
Los cálculos de los seis elementos números borrosos de este quinto conjunto borroso son los siguientes una vez ordenados:

Este es el medidor que corresponde al quinto conjunto borroso. Midiendo del 0% al 100% una distancia en precio propone los siguientes objetivos: 241,421% a 253,770%, 273,205% a 287,180%, 373,205% a 392,295%, 423,607% a 445,274%, 523,607% a 550,389% y 582,843% a 612,655%.

Sexto conjunto borroso
Los elementos de este conjunto borroso son los números de la secuencia de Fibonacci divididos por el número φ (Phi). Me limito a los siete primeros elementos del conjunto borroso a los efectos prácticos, aunque, presumiblemente, los siguientes elementos calculables también den objetivos de precio al calcular con ellos homotecias de ciertas distancias.
Los cálculos de los siete primeros elementos números borrosos de este sexto conjunto borroso son los siguientes una vez ordenados:

Este es el medidor que corresponde al sexto conjunto borroso. Midiendo del 0% al 100% una distancia en precio propone los siguientes objetivos: 60,223% a 63,303%, 120,446% a 126,606%, 180,668% a 189,910%, 301,114% a 316,516%, 481,782% a 506,425%, 782,896% a 822,941% y 1264,678% a 1329,367%.

Estos números borrosos, elementos del sexto conjunto borroso tienen su función de pertenencia (la de número borroso a la recta real -la de los números reales-, no la de pertenencia al conjunto borroso) centrada sobre ellos.