Que unos conjuntos tengan unos tipos de dimensión más grandes que sus dimensiones topológicas parece indicar que estos ocupen más que lo que entendemos por puntos aislados perdidos y que tales puntos se aproximen de algún modo a lo que son curvas, o que líneas quebradas u onduladas se aproximen hacia lo que son superficies, o que superficies puedan pueden acercarse a ser volúmenes. Una curva puede ser o no fractal, para que sea fractal es necesario que esté expandida, por decirlo de algún modo, hacia parte de la siguiente dimensión topológica. Como una curva tiene dimensión topológica 1 y una superficie 2, una curva fractal (expandida hacia lo que es una superficie) tiene una dimensión entre 1 y 2. Esa dimensión fraccionaria (llamada así porque tiene parte fraccionaria, es decir, decimales) puede resultar desconcertante, pero veremos que es así en los fractales.
Estamos habituados a aquella geometría que nos enseñó que cualquier objeto de nuestro mundo tiene tres dimensiones, cualquier polígono o figura representable en un plano tiene dos dimensiones, cualquier segmento representable en una línea tiene una dimensión y que un punto no tiene dimensión. Entendemos habitualmente, también, como dimensión el número de datos necesarios para determinar la posición exacta de un punto en un espacio desde un lugar que consideramos. Si nos interesa fijar el lugar de un punto en una línea desde una posición requerimos un único dato, una distancia. Hablamos entonces de una dimensión o que la dimensión es 1. Si requerimos posicionar un punto sobre un plano necesitamos dos datos, una distancia y una altura, o un largo y un ancho, por ejemplo, y nos encontramos ante 2 dimensiones. Cuando queremos establecer dónde se encuentra un punto concreto en el espacio, requerimos tres datos, una distancia, una altura y una profundidad, por ejemplo, y sabemos que estamos ante 3 dimensiones. Este tipo de dimensión es la del espacio euclídeo y sus dimensiones las consideramos perpendiculares unas a otras, designándolas generalmente por X, Y y Z en el espacio, o por X e Y en el plano o X en una línea. En cualquier espacio vectorial ocurre algo parecido, no es necesario que las coordenadas sean perpendiculares unas a otras y la dimensión de un espacio vectorial, en el que cada vector se nombra con unas coordenadas, es precisamente el número de coordenadas necesarias para nombrar a cada vector.
La dimensión topológica es otro concepto de dimensión en la que el conjunto vacío tiene una dimensión de -1, los puntos tienen 0 dimensión, las líneas y todo tipo de curvas tienen una dimensión de 1, las superficies de 2, los volúmenes de 3 y matemáticamente hay topologías de 4, 5… y hasta de infinitas dimensiones.
El lector debe de considerar que por más que empleemos -1, 0, 1, 2, 3… dimensiones topológicas puedan existir otros tipos de dimensiones fuera del conjunto de esos números enteros, es decir, dimensiones que admitan parte fraccionaria como pueda ser 1,5. Una dimensión tal como 1,5 significa que nos encontramos delante de una línea o curva que ocupa más parte de una superficie que otra de dimensión 1,3 y menos que una de 1,8. Una curva que ocupa una dimensión 2 no es una superficie, pero cubre totalmente una superficie.
Si nunca ha sabido de las dimensiones fraccionarias es probable que lo mencionado le parezca un poco sorprendente, quizá porque el estudio de las dimensiones, como concepto matemático, comenzó a principios del s XX y todavía existe una inercia a explicar las que son número enteros como la euclídea o la topológica, pero hay unas cuantas más que dan para ciertas curvas un resultado entre 1 y 2. Las cotizaciones tienen dimensiones entre 1 y 2.
Dimensión topológica
En un conjunto con una serie de características como puede ser su ordenación o que sea posible medir distancias entre los elementos, hablaremos de intervalo cerrado cuando los elementos que sirven para definirlo están incluidos en él, diremos que es abierto cuando tales elementos no pertenezcan al intervalo. Supongamos nuestro alfabeto ordenado de la ‘a’ a la ‘z’ y sin repeticiones. El intervalo cerrado [e, k] seria el conjunto de letras {e, f, g, h, i, j, k}, que es subconjunto del conjunto alfabeto, en el que tanto el elemento ‘e’ como el ‘k’ que han servido para definirlo forman parte del intervalo cerrado. En cambio, el intervalo abierto ]e, k[ sería el subconjunto del conjunto alfabeto {f, g, h, i, j}, en él no están los elementos ‘e’ y ‘k’ que han servido para definirlo. En el conjunto de los números naturales el intervalo [3, 4] sería el conjunto {3, 4}, en cambio el intervalo ]3, 4[ no contendría ningún número natural, es decir, que ni el 3 ni el 4 pertenecen al intervalo abierto y por tal ese intervalo sería el conjunto vacío. La topología es una rama de las matemáticas que se ocupa de las propiedades de las figuras geométricas que no varían cuando se estiran, doblan, estrujan, retuercen, etc. Los intervalos quedan definidos sobre la recta real, sobre el conjunto de números reales R y sobre los productos cartesianos de R consigo mismo como R2, R3 … donde estos intervalos serán, evidentemente, segmentos, círculos y esferas respectivamente y suelen llamarse indistintamente bolas. Por tanto, hay bolas cerradas y bolas abiertas según sean intervalos cerrados o abiertos.
De un conjunto se pueden hacer subconjuntos. Se llama recubrimiento a la colección de subconjuntos de un conjunto cuya unión contiene al propio conjunto. Por ejemplo, en el conjunto de palabras de un diccionario podemos establecer subconjuntos de palabras que comiencen por cada letra del abecedario. Esa colección de subconjuntos al juntarla contiene al propio diccionario, de hecho, es el propio diccionario; por tanto, la unión de los subconjuntos palabras tomadas del diccionario que comiencen por ‘a’, junto con el subconjunto de las que comiencen por ‘b’ y así hasta el subconjunto de las que comiencen por ‘z’ recubre el diccionario. Podríamos tomar el subconjunto de palabras de una letra, el de dos letras, el de tres… hasta que no quedase una palabra por colocar en un subconjunto. La unión de todos ellos también es un recubrimiento. Los subconjuntos no tienen por qué ser disjuntos, así, siguiendo con el diccionario, podemos hacer, por ejemplo, subconjuntos de modo que una palabra pertenece a un subconjunto si contiene al menos una ‘a’ y puede pertenecer a otro si contiene al menos una ‘e’ o una ‘i’, una ‘o’ o una ‘u’, un sexto subconjunto contendrá las palabras que no contengan ninguna vocal. La colección de esos 6 subconjuntos también es un recubrimiento del conjunto diccionario y la palabra ‘murciélago’ estará en cinco de los 6.
Un espacio topológico es un ente matemático creado con un conjunto y una topología. Una topología es una colección de subconjuntos del conjunto en cuestión que cumple tres propiedades:
- El conjunto vacío y el propio conjunto forman parte de la colección.
- La intersección de cualesquiera subcolecciones finitas está en la colección.
- La unión de subcolecciones está en la colección.
Tenemos, por tanto, un conjunto que está formado por elementos. Con parte, ninguno o la totalidad de sus elementos tenemos una colección de otros conjuntos que son subconjuntos del primero, de modo que cualquier intersección de estos subconjuntos ha de ser a su vez un subconjunto de la colección y no quedar fuera de ella, de ahí que el conjunto vacío deba formar parte de la colección; por otra parte, la unión de cualesquiera subconjuntos de la colección ha de tener como resultado otro subconjunto que esté en la colección, y por eso el propio conjunto ha de estar en la colección. Cuando las tres cosas se dan a la vez, al conjunto original junto con la colección dada de subconjuntos con esas características se le llama espacio topológico, a la colección se le llama topología y a los subconjuntos de la colección se les llama abiertos.
Los ejemplos puestos sirven tan solo para facilitar el entendimiento de conceptos, porque una topología está definida en R, R2, R3 … en uno de sus subconjuntos como lo es una curva, una superficie, un volumen, un hipervolúmen… y los abiertos de una topología son intervalos abiertos o bolas abiertas. Si los intervalos abiertos los suponemos como segmentos, círculos, esferas… podremos entender que, por ejemplo, una curva la podemos recubrir de segmentitos, una superficie de circulitos, un sólido de esferitas y un hipersólido de hiperesferitas. En una cobertura cada punto del conjunto curva, superficie, volumen… ha de pertenecer a algún abierto.
Una cobertura es más fina que otra cobertura si cada abierto de la segunda (la que no es más fina) contiene un abierto de la primera (la más fina). Se llama orden de una cobertura al máximo número de abiertos de la cobertura que tienen una intersección no vacía. No consiste en contar todos los abiertos de una cobertura, sino ver los abiertos que tienen una intersección no vacía y en todas estas intersecciones no vacías contar cuántos abiertos intersectan en cada una. El mayor número de abiertos involucrados en alguna o algunas intersecciones no vacías de entre todas es el orden de la cobertura.
Se define dimensión topológica como el número n tal que para cada cobertura finita existe otra cobertura finita más fina cuyo orden es menor o igual a n+1, y, además, existe una cobertura finita tal que cada cubierta más fina tiene orden n+1.
La definición establece que siempre que queramos cubrir la curva, superficie, volumen… encontraremos coberturas más finas, pero estas llegan a un lugar en su finura que no cambian de orden. Así, en una curva se llega a coberturas tan finas en las que los abiertos que intersectan no de modo vacío lo hacen en todos los lugares en un orden 2, o sea, que en las intersecciones no vacías siempre hay 2 abiertos y no más. Por tanto, las curvas tienen dimensión topológica 1. En las superficies nos encontraremos con que los abiertos necesarios en las coberturas más finas que intersecten entre ellos de modo no vacío son 3 diminutos círculos abiertos, y, por lo tanto, su dimensión topológica es 2. En los volúmenes son necesarias 4 diminutas esferas y su dimensión es 3. La dimensión topológica solo puede tomar valores enteros, pues así son también los órdenes de una cobertura. Al conjunto vacío se le asigna una dimensión topológica de -1 y los puntos tienen dimensión topológica 0.
Quizá se pueda comprender mejor la dimensión topológica explicada por movimiento. Supongamos una fracción lo suficientemente pequeña de un segmento como para que esa fracción pueda recorrer una curva. Ello es posible porque siempre habrá una fracción tan suficientemente pequeña como deseemos, que tiene dimensión 1 y será nuestro abierto, que pueda recorrer toda la curva. En ese recorrido de la curva tan solo hay delante y detrás para el tramo de segmento tan pequeño como nos ha hecho falta. De ningún modo existe ni derecha ni izquierda, ni arriba ni abajo. Cuando eso ocurre estamos delante de una dimensión topológica 1, es decir, la curva tiene dimensión topológica 1. Si ahora tomamos una fracción lo suficientemente pequeña de plano, un cuadrado o un diminuto círculo, y podemos recorrer con él toda una superficie, estaremos ante una dimensión topológica de 2, y ello es posible porque siempre podemos tener un cuadrado o un círculo todo lo pequeño que necesitemos. En ese recorrido el diminuto cuadrado puede ocupar cualquier lugar de la superficie, moviéndose hacia a delante o atrás, a izquierda o derecha, pero de ninguna manera puede elevarse o profundizarse de la superficie en cuestión. Cuando esto ocurre, la dimensión topológica es 2. Si tomamos una fracción lo suficientemente pequeña de un volumen, un cubo o una esferita diminuta, y con él o ella podemos recorrer todo el interior de un cuerpo de modo semejante al explicado, estaremos ante una dimensión topológica de 3.

Una superficie tiene una dimensión topológica de 2. Podríamos recorrer tal superficie con un cuadrado lo suficientemente pequeño como para que no quede ninguna minúscula zona por la que no pueda pasar.
Nuestro concepto cotidiano de dimensión se refiere a números enteros. La dimensión topológica es un tipo de dimensión de las que solo toman números enteros y ha sido definida como hemos visto, pero hay otros modos de definir otros tipos de dimensión que no tienen por qué dar como resultado un número entero, sino que pueden dar números con parte fraccionaria. Estas dimensiones extienden el concepto clásico y la topológica queda contenida en ellas. La dimensión de Hausdorff-Besicovitch, que sirvió a Mandelbrot para dar una primera definición de fractal, es una de las que sí puede tener parte fraccionaria, por lo menos en muchos fractales, siendo para ellos mayor que su dimensión topológica.
El propio Mandelbrot llegó a encontrar fractales cuya dimensión de Hausdorff-Besicovitch y topológica eran la misma como la escalera del diablo; por ello, aún no se ha encontrado una definición definitiva de fractal, pero un conjunto con una dimensión topológica menor a la dimensión de Hausdorff-Besicovitch es un fractal y este es el caso de las cotizaciones.
Dimensión de Hausdorff-Besicovitch
La dimensión de Hausdorff-Besicovitch es una extensión de la dimensión topológica. En ella un punto, una recta, un plano y volúmenes que se suelen estudiar en geometría (tetraedro, cubo, esfera, dodecaedro, icosaedro, cono, pirámide, cilindro y un largo etcétera) mantienen exactamente igual su dimensión como número entero, pero sí que se pueden calcular dimensiones intermedias en diversas agrupaciones de puntos, diversas curvas, diversos superficies y volúmenes que, principalmente a finales del s XIX y principios del s XX, aparecieron creadas por diversos matemáticos y que no se sabía cómo tratar. El concepto de dimensión cambió por Hausdorff que emprendió el camino de las mediciones dando cabida a tratar estos conjuntos.
Félix Hausdorff en 1917 establece la hoy conocida medida de Hausdorff y la dimensión de Hausdorff. En los años 20 del s XX Abram Besicovitch estudia los conjuntos cuya dimensión de Hausdorff es un entero, y debido a sus grandes aportaciones la dimensión de Hausdorff lleva también unido su nombre a tal dimensión. Con Besicovitch se crea la teoría geométrica de la medida, que es retomada posteriormente por Mandelbrot, quien en 1967 publica el artículo: “How Long Is the Coast of Britain? Statistical Self-Similarity and Fractional Dimension”, en Science, vol. 156, pp. 636-638 (¿Cuánto mide la costa de Gran Bretaña? Autoafinidad estadística y dimensión fracionaria). Es ese artículo una especie de introducción a lo que sería después la Geometría Fractal, sin usar tal término ‘fractal’, porque lo acuñó en 1975. Antes, Lewis Fry Richardson, que era un pacifista, después de haber creado en 1922 un método de predicción meteorológica, desistió de él cuando supo que era empleado por diseñadores de armas químicas; y realizó un análisis matemático sobre las guerras. Una de sus consideraciones era que la longitud de las fronteras influye directamente sobre los conflictos entre países que las comparten. En su estudio sobre la longitud de las fronteras observó diferencias en las mediciones de las mismas según los países que las comparten y que estas aumentan su longitud según el grado de precisión con que se realicen sus mediciones. Por ejemplo, la frontera entre España y Portugal para España medía 987 Km y para Portugal 1214 Km. Tanto para las fronteras como para la costa la medición se realiza aproximando una línea poligonal a lo que se mide. Así, tomando lados poligonales de tamaño ε cada vez menores, se esperaba que cuando ε→0, o sea, que el tamaño de la regla de medir, y que es cada lado del polígono de aproximación, tendiese a medir cero se obtuviese la medición precisa de la frontera o de la costa al multiplicar el número de lados del polígono por el tamaño ε empleado, o lo que es lo mismo, el número de veces que hemos empleado la regla de medir por el tamaño de la regla de medir. Eso es lo que se espera siempre con las curvas llamadas rectificables, como lo es una circunferencia, de la que podemos medir su longitud por aproximación de la medición de los lados de un polígono inscrito en ella. Si partimos de un triángulo, después un cuadrado, un pentágono, un hexágono… la suma de los lados poligonales va, conforme tomamos polígonos de muchos más lados, aproximándose a la longitud real de la circunferencia. A medida que el lado ε del polígono de aproximación es más pequeño, es decir, que su tamaño tiende a ser cero, más se aproxima la suma de las longitudes de esos lados a la longitud real de la circunferencia. Sin embargo, en las mediciones de las fronteras de países o de las costas esto no es así. Aparece el fenómeno que ya Zenón intuyese en la carrera entre Aquiles y la tortuga, particularmente cuando ambos son menguantes, pero tal fenómeno no ocurre solo en la parte final de la carrera, sino que, en cualquier lugar, en cualquier entorno de cualquier punto.
Para las fronteras, costas y demás contornos naturales, la longitud, que llamaremos L(ε) aumenta cada vez más conforme ε es cada vez menor. Al reducir el tamaño de cada lado del polígono de aproximación a la frontera o costa en cuestión la longitud de la línea poligonal crece sin que tienda a converger a una cantidad finita. Richardson pudo haber supuesto que si el tamaño ε del lado tiende a hacerse cero la longitud L(ε) se acerca a ser infinita.

Lewis Fry Richardson describió que para cualquier frontera hay dos constantes F y D, y que para aproximar la línea poligonal a la curva de las fronteras se necesitan aproximadamente Fε-D intervalos de longitud . También averiguó que siempre en cualquier frontera 1<D<2.

Como era de esperar, cada país tomaba como longitud de su frontera o costa una longitud aproximadamente igual a la multiplicación del tamaño de cada intervalo con que medían por el número de ellos, pensando que el cálculo era correcto. Richardson explicó por qué cada país daba una medida distinta de la frontera común con otro país y, sin saberlo, encontró las bases de mediciones introduciendo lo que sería un concepto de dimensión ya no enclavada en números enteros, sino fraccionaria.

De las dos constantes F y D, D es una dimensión, aunque Richardson no se percató de ello. Mandelbrot tomó estas consideraciones en el estudio sobre cuánto mide de la costa de Gran Bretaña encontrando un modo de medir objetos irregulares como son las líneas de la costa. Esta medida depende de la escala en que midamos. Llegó más lejos al considerar el exponente de Richardson D como una dimensión del espacio en el que se realiza la medida.
Una observación. Intentar medir el tamaño unidimensional de áreas con una longitud nos da como resultado infinito, medir el tamaño bidimensional de longitudes con un área da como resultado 0. Medir el tamaño unidimensional o bidimensional de volúmenes con longitudes o áreas da como resultado infinito y medir el tamaño tridimensional de áreas o longitudes con volúmenes resulta cero como resultado.
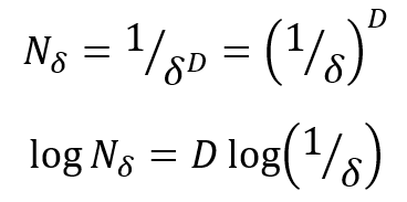
En un conjunto S, en nuestro caso una curva, una superficie o un volumen, hacemos un recubrimiento con un número Nδ de bolas necesarias para que el cubrimiento sea completo, cada bola del mismo tamaño que las otras y de radio δ. Al igual que en el caso de las líneas de frontera y líneas de costa, si el número de bolas Nδ aumenta del mismo modo a como lo hace 1/δD, al ir disminuyendo el tamaño de δ, entonces D es la dimensión de Hausdorff-Besicovitch cuando δ tiende a medir 0.

Por tanto, cuando δ tiende a medir 0 obtenemos la dimensión de Hausdorff-Besicovitch del siguiente modo

Tanto Hausdorff como Richardson habían encontrado una dimensión que escapa de ser un número entero. El primero la calculó para curvas, superficies, volúmenes… matemáticos y el segundo, sin saber que era una dimensión, para curvas en la Naturaleza. Mandelbrot las unificó, porque eran lo mismo, pero llegó todavía más lejos al estudiar el exponente de Hurst.
Al igual que en la observación hecha de intentar medir el tamaño unidimensional de un área o un volumen, o el bidimensional de un volumen con resultado infinito; o el tamaño tridimensional de una línea o una superficie o el bidimensional de una línea con resultado cero, ocurre lo parecido con la de dimensión de Hausdorff-Besicovitch. Tan solo existe un número real como medición en tal dimensión, dando como resultado una medición de cero o infinito fuera de tal dimensión.